I ran 9 miles today with the first 5 at slow pace, then 2.5 hard miles, then easier mile to total 9.
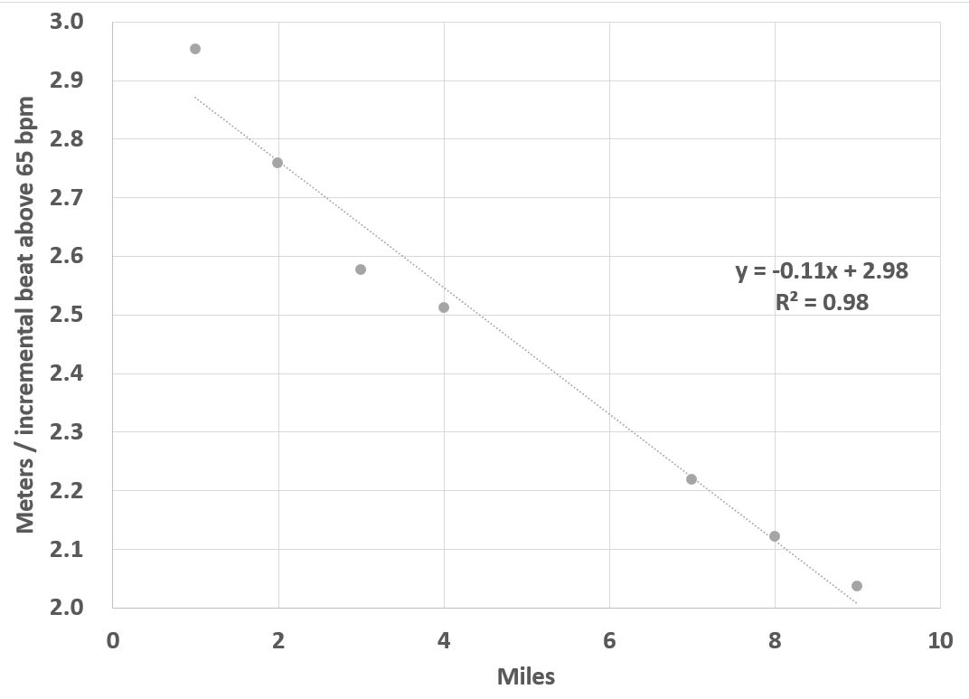
A coach had noted that data in earlier runs had showed deterioration of around 11% per doubling of miles. To quatify this I tried calculating a metric of “meters per incremental beat” (mpib) above an estimate of my standing heart rate (65). Plot below shows this run in those terms. I start at 3 meters/incremental beat and deteriorate to 2 after 9 miles. If I use my maximum heart rate of around 180bpm, that translates to 345 meters/minute or 4:40/mile, which is actually about the fastest pace I can hold for short spurts.

